Animatsiyani yopish
t
a
sh
x
i
s
m
a
r
k
a
z
i
x
Book Now
Send Now
Qarshi sh, Xonobod ko'cha 19
666-888-0000
qashqadaryo-centre@vetgov.uz
qashqadaryo-centre@vetgov.uz
Qarshi sh, Xonobod ko'cha 19
Murojaat yuborish
Bosh sahifa
Biz haqimizda
Hujjatlar
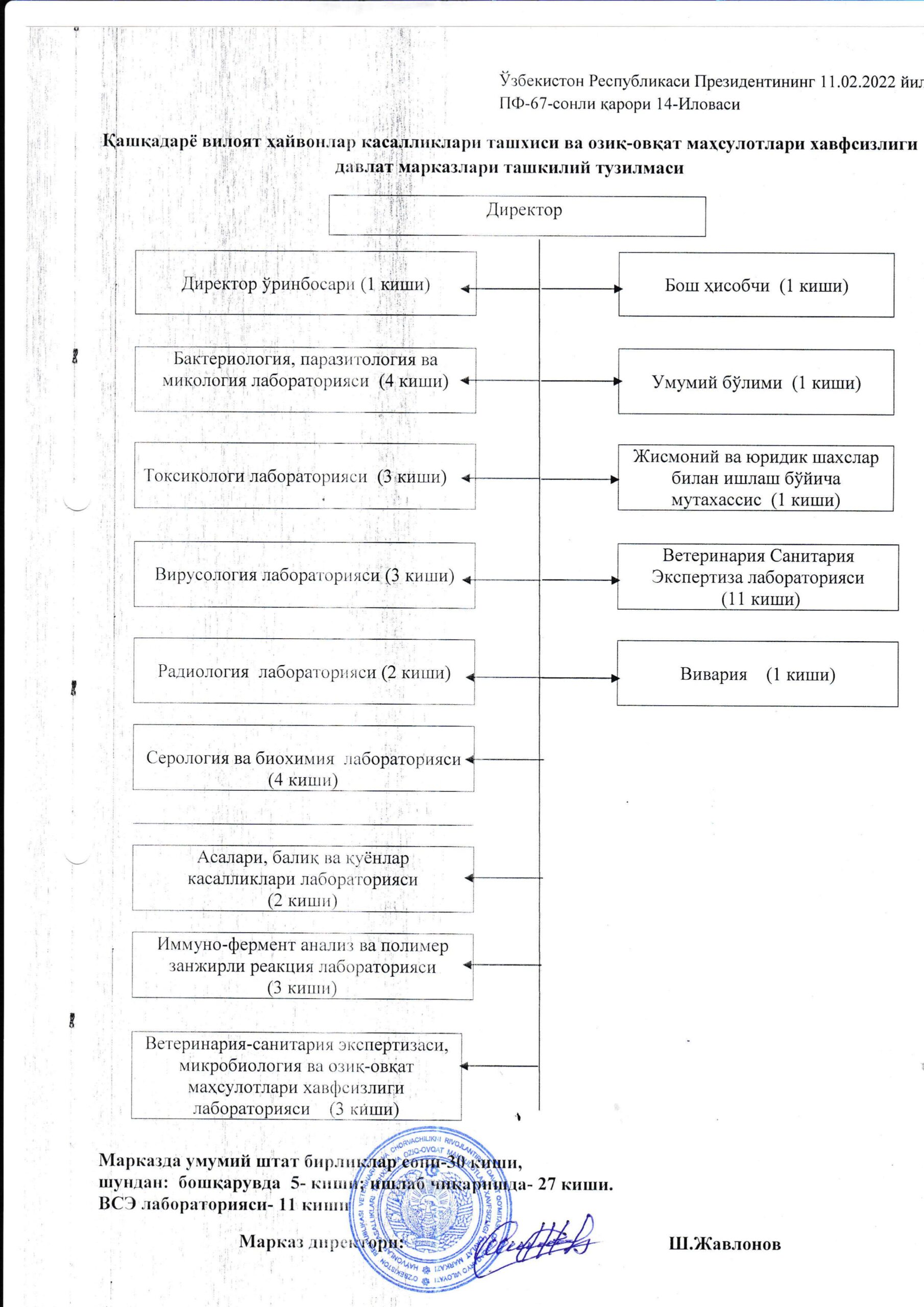
Tarkibiy tuzilma
Nizom
Ochiq ma’lumotlar
Kitoblar
Bo’limlar
Rahbariyat
Hodisalar
Galereya
Yangiliklar
Aloqa
Aloqa
Qarshi shahar, Xonobod shoh ko`chasi 19-uy
+998 (75) 224-16-01
qashqadaryo-centre@vetgov.uz
Tarkibiy tuzilma
Qashqadaryo-VTM.uz
> Tarkibiy tuzilma